题目内容
已知椭圆(1)求椭圆的方程;
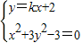
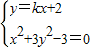
(2)已知定点E(-1,0),若直线y=kx+2(k≠0)与椭圆交于C、D两点,问:是否存在k的值,使以CD为直径的圆过E点?请说明理由.
【答案】分析:(1)直线AB方程为bx-ay-ab=0,依题意可得:
,由此能求出椭圆的方程.
(2)假设存在这样的值.
,得(1+3k2)x2+12kx+9=0,再由根的判别式和根与系数的关系进行求解.
解答:解:(1)直线AB方程为bx-ay-ab=0,
依题意可得:
,
解得:a2=3,b=1,
∴椭圆的方程为
.
(2)假设存在这样的值.
,
得(1+3k2)x2+12kx+9=0,
∴△=(12k)2-36(1+3k2)>0…①,
设C(x1,y1),D(x2,y2),
则
而y1•y2=(kx1+2)(kx2+2)=k2x1x2+2k(x1+x2)+4,
要使以CD为直径的圆过点E(-1,0),
当且仅当CE⊥DE时,
则y1x1+y2x2+1=-1,
即y1y2+(x1+1)(x2+1)=0,
∴(k2+1)x1x2+(2k+1)(x1+x1)+5=0…③
将②代入③整理得k=
,
经验证k=
使得①成立综上可知,存在k=
使得以CD为直径的圆过点E.
点评:本题考查圆与圆锥曲线的综合性质和应用,解题时要认真审题,仔细解答,注意合理地进行等价转化.
(2)假设存在这样的值.
解答:解:(1)直线AB方程为bx-ay-ab=0,
依题意可得:
解得:a2=3,b=1,
∴椭圆的方程为
(2)假设存在这样的值.
得(1+3k2)x2+12kx+9=0,
∴△=(12k)2-36(1+3k2)>0…①,
设C(x1,y1),D(x2,y2),
则
而y1•y2=(kx1+2)(kx2+2)=k2x1x2+2k(x1+x2)+4,
要使以CD为直径的圆过点E(-1,0),
当且仅当CE⊥DE时,
则y1x1+y2x2+1=-1,
即y1y2+(x1+1)(x2+1)=0,
∴(k2+1)x1x2+(2k+1)(x1+x1)+5=0…③
将②代入③整理得k=
经验证k=
点评:本题考查圆与圆锥曲线的综合性质和应用,解题时要认真审题,仔细解答,注意合理地进行等价转化.
练习册系列答案
相关题目