题目内容
如图,矩形ABCD与ADQP所在平面垂直,将矩形ADQP沿PD对折,使得翻折后点Q落在BC上,设AB=1,PA=x,AD=y.(Ⅰ)试求y关于x的函数解析式;
(Ⅱ)当y取最小值时,指出点Q的位置,并求出此时直线AD与平面PDQ所成的角;
(Ⅲ)在条件(Ⅱ)下,求三棱锥P-ADQ的内切球的半径.
【答案】分析:(Ⅰ)连接AQ,可以证出DQ⊥面PAQ,AQ⊥DQ,得出Rt△ABQ∽Rt△QCD,根据比例关系得出y关于x的函数解析式.
(Ⅱ) 由(Ⅰ)得出
(Ⅲ)设三棱锥P-ADQ的内切球半径为r,连接OA,OP,OQ,OD则三棱锥被分成了四个小三棱锥,利用等体积分割法求出r.
解答:解:(Ⅰ)显然x>1,连接AQ.
∵平面ABCD⊥平面ADQP,PA⊥AD,
∴PA⊥平面ABCD,PA⊥DQ,
又PQ⊥DQ,
∴DQ⊥面PAQ,AQ?面PAQ,
∴AQ⊥DQ,AD=y2-x2.
∵Rt△ABQ∽Rt△QCD,
,
∴
,即
,
∴
.
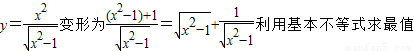
(Ⅱ)
,
当且仅当
即
时取等号.
此时CQ=1,即Q是BC的中点.于是由DQ⊥平面PAQ知平面PDQ⊥平面PAQ,PQ是其交线,则过A作AE⊥平面PDQ,
∴∠ADQ就是AD与平面PDQ所成的角.
由已知得
,PQ=AD=2,
∴AE=1,
,∠ADE=30°,
即AD与平面PDQ所成的角为30.
(Ⅲ)设三棱锥P-ADQ的内切球半径为r,设该小球的球心为O,连接OA,OP,OQ,OD则三棱锥被分成了四个小三棱锥,且每个小三棱锥中有一个面上的高都为r
∴
∵
,
,S△PAQ=1,
,S△ADQ=1,
∴
.
点评:本题是函数与不等式、空间几何体的结合,考查了直线和直线、直线和平面垂直关系的判定与应用,函数思想,等体积转化的方法.考查空间想象、转化、计算能力.
(Ⅱ) 由(Ⅰ)得出
(Ⅲ)设三棱锥P-ADQ的内切球半径为r,连接OA,OP,OQ,OD则三棱锥被分成了四个小三棱锥,利用等体积分割法求出r.
解答:解:(Ⅰ)显然x>1,连接AQ.
∵平面ABCD⊥平面ADQP,PA⊥AD,
∴PA⊥平面ABCD,PA⊥DQ,
又PQ⊥DQ,
∴DQ⊥面PAQ,AQ?面PAQ,
∴AQ⊥DQ,AD=y2-x2.
∵Rt△ABQ∽Rt△QCD,
∴
∴
(Ⅱ)
当且仅当
此时CQ=1,即Q是BC的中点.于是由DQ⊥平面PAQ知平面PDQ⊥平面PAQ,PQ是其交线,则过A作AE⊥平面PDQ,
∴∠ADQ就是AD与平面PDQ所成的角.
由已知得
∴AE=1,
即AD与平面PDQ所成的角为30.
(Ⅲ)设三棱锥P-ADQ的内切球半径为r,设该小球的球心为O,连接OA,OP,OQ,OD则三棱锥被分成了四个小三棱锥,且每个小三棱锥中有一个面上的高都为r
∴
∵
∴
点评:本题是函数与不等式、空间几何体的结合,考查了直线和直线、直线和平面垂直关系的判定与应用,函数思想,等体积转化的方法.考查空间想象、转化、计算能力.
练习册系列答案
相关题目