题目内容
已知函数f(x)=sin2x+
sinxcosx+2cos2x,x∈R。
(1)求函数f(x)的最小正周期和单调增区间;
(2)函数f(x)的图象可以由函数y=sin2x(x∈R)的图象经过怎样的变换得到?
(1)求函数f(x)的最小正周期和单调增区间;
(2)函数f(x)的图象可以由函数y=sin2x(x∈R)的图象经过怎样的变换得到?
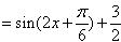
解:(1)


∴f(x)的最小正周期
由题意得
即
∴f(x)的单调增区间为
。
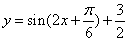
(2)先把
图象上所有点向左平移
个单位长度,得到
的图象,再把所得图象上所有的点向上平移
个单位长度,就得到
的图象。
∴f(x)的最小正周期
由题意得
即
∴f(x)的单调增区间为
(2)先把
练习册系列答案
相关题目