题目内容
在等比数列{an}中,S3=
,S6=
,求an。
解:
,
∴q≠1,
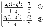
又
,
即
,
②÷①得
,
∴q=2,
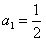
将q=2代入①,可求得
,
因此
。
∴q≠1,
又
即
②÷①得
∴q=2,
将q=2代入①,可求得
因此
练习册系列答案
相关题目
在等比数列{an}中,若a1=1,公比q=2,则a12+a22+…+an2=( )
| A、(2n-1)2 | ||
B、
| ||
| C、4n-1 | ||
D、
|