ÌâÄ¿ÄÚÈÝ

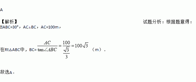
Èçͼ£¬Ä³µØÐÞ½¨¸ßËÙ¹«Â·£¬Òª´ÓBµØÏòCµØÐÞÒ»×ùËíµÀ(B¡¢CÔÚÍ¬Ò»Ë®Æ½ÃæÉÏ)£¬ÎªÁ˲âÁ¿B¡¢CÁ½µØÖ®¼äµÄ¾àÀ룬ij¹¤³Ìʦ³Ë×øÈÈÆøÇò´ÓCµØ³ö·¢£¬´¹Ö±ÉÏÉý100mµ½´ïA´¦£¬ÔÚA´¦¹Û²ìBµØµÄ¸©½ÇΪ30¡ã£¬ÔòB¡¢CÁ½µØÖ®¼äµÄ¾àÀëΪ( )

A. 100m B. 50m C. 50m D. m

A ¡¾½âÎö¡¿ÊÔÌâ·ÖÎö£º¸ù¾ÝÌâÒâµÃ£º¡ÏABC=30¡ã£¬AC¡ÍBC£¬AC=100m£¬ ÔÚRt¡÷ABCÖУ¬BC=£¨m£©£® ¹ÊÑ¡A£®
Á·Ï°²áϵÁдð°¸
Ïà¹ØÌâÄ¿

Èçͼ£¬¡÷ABCÖУ¬AB=AC£¬ADÊÇ¡ÏBACµÄƽ·ÖÏߣ®ÒÑÖªAB=5£¬AD=3£¬ÔòBCµÄ³¤Îª£¨¡¡¡¡£©

A. 5 B. 6 C. 8 D. 10

C ¡¾½âÎö¡¿ÒòΪAB£½AC£¬ADÊÇ¡ÏBACµÄƽ·ÖÏߣ¬ËùÒÔBC=2BD. ÒòΪBD£½4£¬ËùÒÔBC=2BD=2¡Á4=8. ¹ÊÑ¡C.

Èçͼ£¬ÔÚ¡÷ABCÖУ¬ÒÑÖª¡ÏC£½90¡ã£¬AC=4£¬BC=3£¬ÄÇôÏÂÁнáÂÛ²»ÕýÈ·µÄÊÇ£¨ £©

A. sinA= B. cosA= C. tanA= D. cosB=

D ¡¾½âÎö¡¿¡ß¡ÏC£½90¡ã£¬AC=4£¬BC=3£¬¡àAB==5£¬ ¡àsinA==£¬cosA== £¬ tanA== £¬ cosB==£¬ ¹ÊÑ¡D.

ÔÚ¡÷ABCÖУ¬¡ÏC£½90¡ã£¬¡ÏA£¬¡ÏB£¬¡ÏCËù¶ÔµÄ±ß·Ö±ðΪa£¬b£¬c.

(1)ÒÑÖªc£½8£¬¡ÏA£½60¡ã£¬Çó¡ÏB£¬a£¬b£»

(2)ÒÑÖªa£½3£¬¡ÏA£½45¡ã£¬Çó¡ÏB£¬b£¬c.

(1)¡ÏB£½30¡ã£¬a£½12£¬b£½4£»(2)¡ÏB£½45¡ã£¬b£½3£¬c£½6. ¡¾½âÎö¡¿ÊÔÌâ·ÖÎö£º£¨1£©¸ù¾ÝÖ±½ÇÈý½ÇÐÎÁ½Èñ½Ç»¥ÓàÇóµÃ¡ÏBµÄ¶ÈÊý£¬ÔÙ¸ù¾Ý30¶È½ÇËù¶ÔÖ±½Ç±ßµÈÓÚб±ßÒ»°ëÇóµÃb£¬ÔÙ¸ù¾Ý¹´¹É¶¨ÀíÇóµÃa¼´¿É£» £¨2£©Ïȸù¾ÝÖ±½ÇÈý½ÇÐÎÁ½Èñ½Ç»¥ÓàÇóµÃ¡ÏB=45¡ã£¬´Ó¶øµÃµ½b=a£¬ÔÙÀûÓù´¹É¶¨Àí¼´¿ÉÇóµÃc. ÊÔÌâ½âÎö£º£¨1£©¡ß¡ÏC=90¡ã£¬¡ÏA=60¡ã£¬¡à¡ÏB=90¡ã-¡ÏA=30¡ã£¬...

Èçͼ£¬Õý·½ÐÎABCDµÄ±ß³¤Îª4£¬µãMÔÚ±ßDCÉÏ£¬M£¬NÁ½µã¹ØÓÚ¶Ô½ÇÏßAC¶Ô³Æ£¬ÈôDM£½1£¬Ôòtan¡ÏADN£½________£®

¡¾½âÎö¡¿ÊÔÌâ·ÖÎö£ºÔÚÕý·½ÐÎABCDÖУ¬AB=CD£®ÓÉM¡¢NÁ½µã¹ØÓÚ¶Ô½ÇÏßAC¶Ô³Æ£¬ËùÒÔDM=BN=1£¬ ÔÙÓÉÌâÒâ¿ÉÖªtan¡ÏAND===tan£¨90¡ã-¡ÏCDN£©£¬½ø¶øÇó³öCN=BC-BN=4-1=3£®ÔÙÓÉÌâÒâ¿ÉÖªtan¡ÏAND=tan£¨90¡ã-¡ÏCDN£©===£®

·Ö½âÒòʽ£º6x£­4xy

2x(3£­2y) ¡¾½âÎö¡¿ÊÔÌâ·ÖÎö£º¸ù¾ÝÌṫÒòʽ·¨·Ö½âÒòʽ£¬ÏÈÈ·¶¨¹«Òòʽ2x£¬ÔÙÌáÈ¡¹«Òòʽ¼´¿É. ÊÔÌâ½âÎö£º6x-4xy=2x£¨3-2y£©.

ÈçͼËùʾ£¬Ò»ÕŰ×É«Õý·½ÐÎֽƬµÄ±ß³¤ÊÇ10 cm£¬±»Á½ÕÅ¿íΪ2 cmµÄÒõÓ°Ö½Ìõ·ÖΪËĸö°×É«µÄ³¤·½Ðβ¿·Ö£¬ÇëÄãÀûÓÃÆ½ÒƵÄ֪ʶÇó³öͼÖа×É«²¿·ÖµÄÃæ»ý£®

64 cm2 ¡¾½âÎö¡¿ÊÔÌâ·ÖÎö£º½«ºáÏòµÄÐ¡Â·Æ½ÒÆÖÁÕý·½ÐεÄÉϱߣ¬½«×ÝÏòÐ¡Â·Æ½ÒÆÖÁÕý·½ÐεÄ×ó±ß£¬ÔòÊ£Óಿ·Ö¼´Îª°×É«²¿·ÖµÄÃæ»ý£® ¡¾½âÎö¡¿ ½«ºáÏòµÄÐ¡Â·Æ½ÒÆÖÁÕý·½ÐεÄÉϱߣ¬½«×ÝÏòÐ¡Â·Æ½ÒÆÖÁÕý·½ÐεÄ×ó±ß£¬ ËùÒÔ°×É«²¿·ÖµÄÃæ»ý£½(10£­2)(10£­2)£½64cm2£®

Èçͼ£¬ÔÚ¡õABCDÖУ¬ÒÑÖªAD=8cm£¬AB=6cm£¬DEƽ·Ö¡ÏADC½»BC±ßÓÚµãE£¬ÔòBEµÈÓÚ£¨ £©

A. 2cm B. 4cm C. 6cm D. 8cm

A ¡¾½âÎö¡¿ÊÔÌâ·ÖÎö£ºÓÉÆ½ÐÐËıßÐÎ¶Ô±ßÆ½Ðиù¾ÝÁ½Ö±Ï߯½ÐУ¬ÄÚ´í½ÇÏàµÈ¿ÉµÃ¡ÏEDA=¡ÏDEC£¬¶øDEƽ·Ö¡ÏADC£¬½øÒ»²½ÍƳö¡ÏEDC=¡ÏDEC£¬ÔÚͬһÈý½ÇÐÎÖУ¬¸ù¾ÝµÈ½Ç¶ÔµÈ±ßµÃCE=CD=6£¬ÔòBE¿ÉÇóBE=BC-EC=8-6=2£® ¹ÊÑ¡£ºA£®

Î¥·¨ºÍ²»Á¼ÐÅÏ¢¾Ù±¨µç»°£º027-86699610 ¾Ù±¨ÓÊÏ䣺58377363@163.com

¾«Ó¢¼Ò½ÌÍø