题目内容
方程(x-1)(x-2)=1的根是( )
A. x1=1,x2=2 B. x1=-1,x2=-2
C. x1=0,x2=3 D. 以上都不对
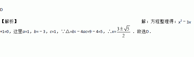
D 【解析】【解析】 方程整理得:x2﹣3x+1=0,这里a=1,b=﹣3,c=1,∵△=b2﹣4ac=9﹣4=5,∴x=.故选D.
练习册系列答案
相关题目
题目内容
方程(x-1)(x-2)=1的根是( )
A. x1=1,x2=2 B. x1=-1,x2=-2
C. x1=0,x2=3 D. 以上都不对
D 【解析】【解析】 方程整理得:x2﹣3x+1=0,这里a=1,b=﹣3,c=1,∵△=b2﹣4ac=9﹣4=5,∴x=.故选D.