题目内容
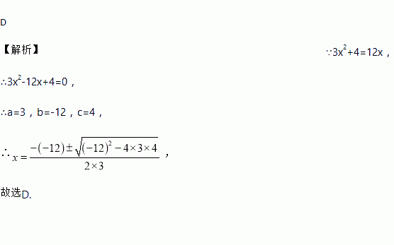
用公式法解方程3x2+4=12x,下列代入公式正确的是( )
A. B.
C. D.
函数中,自变量x的取值范围是 ;
如图,∠ACB=900,AC=BC,BE⊥CE,AD⊥CE于D,AD=2.5cm,DE=1.7cm,则BE=( )
A. 1cm B. 0.8cm C. 4.2cm D. 1.5cm
已知一组数据a,b,c的平均数为5,方差为4,那么数据a﹣2,b﹣2,c﹣2的平均数和方差分别是.( )
A. 3,2 B. 3,4 C. 5,2 D. 5,4
关于x的方程mx2﹣4x﹣m+5=0,有以下说法:①当m=0时,方程只有一个实数根;②当m=1时,方程有两个相等的实数根;③当m=﹣1时,方程没有实数根.则其中正确的是( )
A. ①② B. ①③ C. ②③ D. ①②③
已知多项式2x2+3xy﹣2y2﹣x+8y﹣6可分解为(x+2y+m)(2x﹣y+n)的形式.试求:m、n的值?
如图,把一张等腰梯形纸片沿中位线剪开,拼成一个新的图形,这个新的图形可以是下列图形中的( )
A. 三角形 B. 平行四边形 C. 矩形 D. 正方形
如图,△ABC是边长为5cm的等边三角形,点P,Q分别从顶点A,B同时出发,沿射线AB,BC运动,且它们的速度都为2cm/s.设点P的运动时间为t(s).
(1)当t为何值时,△ABQ≌△CBP.
(2)连接AQ、CP,相交于点M,则点P,Q在运动的过程中,∠CMQ会变化吗?若变化,则说明理由;若不变,请求出它的度数.
()解不等式: .
()解不等式组: ,并把它的解集在数轴上表示出来.