题目内容

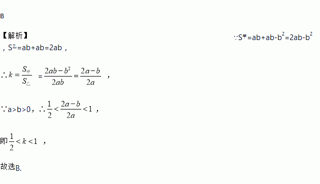
某小区有一块边长为a的正方形场地,规划修建两条宽为b的绿化带.方案一如图甲所示,绿化带面积为;方案二如图乙所示,绿化带面积为.设,下列选项中正确的是( )

甲 乙

A. B. C. D.

B 【解析】∵S甲=ab+ab-b2=2ab-b2,S乙=ab+ab=2ab, ∴ = , ∵a>b>0,∴, 即 , 故选B.
练习册系列答案
相关题目

阅读材料

小明遇到这样一个问题:求计算所得多项式的一次项系数.

小明想通过计算所得的多项式解决上面的问题,但感觉有些繁琐,他想探寻一下,是否有相对简洁的方法.

他决定从简单情况开始,先找所得多项式中的一次项系数.通过观察发现:

也就是说,只需用中的一次项系数1乘以中的常数项3,再用中的常数项2乘以中的一次项系数2,两个积相加,即可得到一次项系数.

延续上面的方法,求计算所得多项式的一次项系数.可以先用的一次项系数1, 的常数项3, 的常数项4,相乘得到12;再用的一次项系数2, 的常数项2, 的常数项4,相乘得到16;然后用的一次项系数3, 的常数项2, 的常数项3,相乘得到18.最后将12,16,18相加,得到的一次项系数为46.

参考小明思考问题的方法,解决下列问题:

(1)计算所得多项式的一次项系数为

(2)计算所得多项式的一次项系数为

(3)若计算所得多项式的一次项系数为0,则=_________.

(4)若的一个因式,则的值为

(1)7(2)-7(3)-3(4)-15 【解析】试题分析:(1)用2x+1中的一次项系数2乘以3x+2中的常数项2得4,用2x+1中的常数项1乘以3x+2中的一次项系数3得3,4+3=7即为积中一次项的系数; (2)用x+1中的一次项系数1,3x+2中的常数项2,4x-3中的常数项-3相乘得-6,用x+1中的常数项1,3x+2中的一次项系数3,4x-3中的常数项-3相乘得-9,用x+...

违法和不良信息举报电话:027-86699610 举报邮箱:58377363@163.com

精英家教网