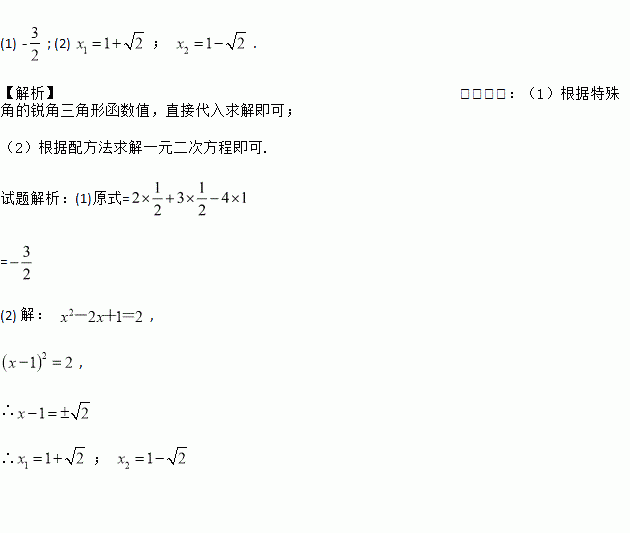
题目内容
(1)计算:
(2) 解方程: ![]()
练习册系列答案
相关题目
抛物线
上部分点坐标如表所示,下列说法错误的是( )
x | … | -3 | -2 | -1 | 0 | 1 | … |
y | … | -6 | 0 | 4 | 6 | 6 | … |
A. 抛物线与y轴的交点为(0,6) B. 抛物线的对称轴是在y轴的右侧;
C. 抛物线一定经过点(3,0) D. 在对称轴左侧,y随x增大而减小.
D 【解析】根据表中数据和抛物线的对称形,可得到抛物线的开口向下,当x=3时,y=0,即抛物线与x轴的交点为(-2,0)和(3,0);因此可得抛物线的对称轴是直线x=,再根据抛物线的性质即可进行判断.根据图表,当x=-2,y=0,根据抛物线的对称形,当x=3时,y=0,即抛物线与x轴的交点为(-2,0)和(3,0);可得抛物线的对称轴是直线,x=根据表中数据得到抛物线的开口向下,根据图像与...