题目内容

阅读下列材料:

利用完全平方公式,可以将多项式变形为的形式, 我们把这样的变形方法叫做多项式的配方法.运用多项式的配方法及平方差公式能对一些多项式进行分解因式.例如:

根据以上材料,解答下列问题:

(1)用多项式的配方法将化成的形式;

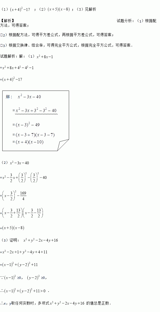
(2)下面是某位同学用配方法及平方差公式把多项式进行分解因式的解答过程:

老师说,这位同学的解答过程中有错误,请你找出该同学解答中开始出现错误的地方,并用“ ”标画出来,然后写出完整的、正确的解答过程:

(3)求证:x,y取任何实数时,多项式的值总为正数.

(1) ;(2);(3)见解析 【解析】试题分析:(1)根据配方法,可得答案; (2)根据配方法,可得平方差公式,再根据平方差公式,可得答案; (3)根据交换律、结合率,可得完全平方公式,根据完全平方公式,可得答案. 试题解析:【解析】 (1) = = (2) = = = = (3)证明: = = ∵≥0,...
练习册系列答案
相关题目

违法和不良信息举报电话:027-86699610 举报邮箱:58377363@163.com

精英家教网