题目内容
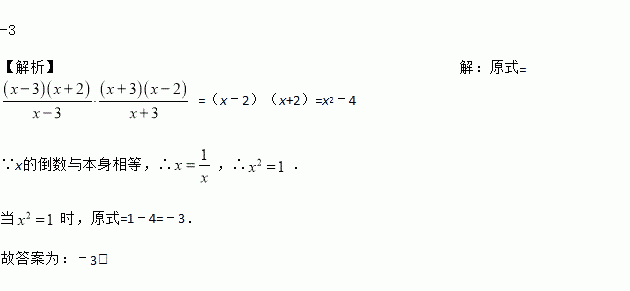
若x的倒数与本身相等,则=________
某小区为了促进全民健身活动的开展,决定在一块面积约为1000的正方形空地上建一个篮球场,已知篮球场的面积为420,其中长是宽的倍,篮球场的四周必须留出1m宽的空地,请你通过计算说明能否按规定在这块空地上建一个篮球场?
如果,那么的值是( )
A. B. C. D.
在平面直角坐标中,已知点A(2,1),O为坐标原点,在y轴上确定点P,
使得△AOP为等腰三角形,则符合条件的点P的个数为 ( )
A. 3 B. 4 C. 5 D. 6
如图,在Rt△ABC中,∠C=90°,AC=4,BC=3,BD平分∠ABC,E是AB中点,连接DE,则DE的长为( )
A. B. 2 C. D.
分式的值为0,则x=________
要使分式有意义,则x的取值应满足( )
A. x≠-2 B. x≠3 C. x=-2 D. x=-3
如果∠A=30°,那么∠A的余角为______°,∠A的补角为_______°.
绝对值小于的所有整数有_____________.