题目内容
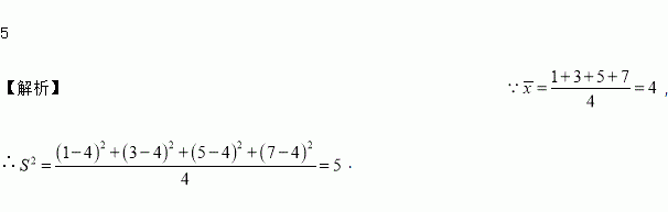
已知一组数据1,3,5,7,则该组数据的方差S2=_________.
点(-3,4)关于y轴的对称点的坐标是 ( )
A. (-3,-4) B. (3,4) C. (3,-4) D. (4,-3)
在数轴上与﹣2所对应的点相距4个单位长度的点表示的数是_____.
如图,⊙O是△ABC的外接圆,∠ABC=45°,OC∥AD,AD交BC的延长线于D,AB交OC于E.
(1)求证:AD是⊙O的切线;
(2)若⊙O的直径为6,线段BC=2,求∠BAC的正弦值.
如图,在平面直角坐标系中,抛物线与直线相交于点B、C,点P为直线BC上方的抛物线上的一动点, PQ⊥x轴交BC于点Q,PG⊥BC于点G,点M为线段PQ的中点,则线段GM的最大值为_________.
如图,在△ABC中,∠B=70°,AB=4,BC=6,将△ABC沿图示中的虚线DE剪开,剪下的三角形与原三角形相似的有( )
(1) (2) (3) (4)
A. 1个 B. 2个 C. 3个 D. 4个
某校为了了解本校七年级学生课外阅读的喜好,随机抽取该校七年级部分学生进行问卷调査(每人只选一种书籍).如图是整理数据后绘制的两幅不完整的统计图,请你根据图中提供的信息,解答下列问题:
(1)这次活动一共调查了________名学生;
(2)在扇形统计图中,“其他”所在扇形的圆心角等于__________度;
(3)补全条形统计图;
(4)若该年级有600名学生,请你估计该年级喜欢“科普常识”的学生人数约是__________.
一个篮球标价120元,销售时以九折出售,结果仍获利百分之二十,则篮球的进价是( )元.
A. 90 B. 85 C. 80 D. 95
如图,在△ABC中,∠C=90°,AD平分∠BAC交BC于D点,DE⊥AB于E,当AC=6,BC=8时,求DE的长.