题目内容
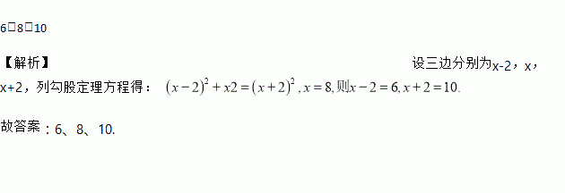
直角三角形的三边长为连续偶数,则这三个数分别为__________.
估计+1的值应在( )
A. 3和4之间 B. 4和5之间 C. 5和6之间 D. 6和7之间
已知:如图,四边形ABCD中,AB⊥BC,AB=3,BC=4,CD=12,AD=13,求四边形ABCD的面积.
下列各式中属于最简二次根式的是( )
A. B. C. D.
;
已知,则x等于( )
A. 4 B. ±2 C. 2 D. ±4
在△的中, ,周长为,斜边与一直角边比为,则这个三角形的三边长分别是( )
已知a2+a﹣3=0,那么a2(a+4)的值是( )
A. ﹣12 B. ﹣18 C. ﹣15 D. 9
已知,如图, .
(1)求证: ≌;
(2)若,则= °.