题目内容
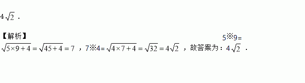
定义新运算“※”的运算法则为:x※y=,则(5※9)※4= .
把多项式m3n-mn3分解因式的结果是 .
的算术平方根是_____________,的平方根是__________________.
下列运算正确的是( )
A. |-3|=3 B. |-3|=-3 C. D.
计算:(﹣)2﹣ ﹣+82.
如图数在线的A、B、C三点所表示的数分别为a、b、c.根据图中各点位置,判断下列各式何者正确( )
A. (a﹣1)(b﹣1)>0 B. (b﹣1)(c﹣1)>0 C. (a+1)(b+1)<0 D. (b+1)(c+1)<0
如图,AB∥CD,∠ABK的角平分线BE的反向延长线和∠DCK的角平分线CF的反向延长线交于点H,∠K﹣∠H=27°,则∠K=( )
A. 76° B. 78° C. 80° D. 82°
如图,⊙O内切于,切点分别为.,,连结,则等于( )
A. B. C. D.
如图,在△ABC中,AQ=PQ,PR=PS,∠RAP=∠SAP,PR⊥AB于点R,PS⊥AC于点S,则下列三个结论:①AS=AR;②QP∥AR;③△BPR≌△QPS中( )
A. 全部正确 B. 仅①和②正确 C. 仅①正确 D. 仅①和③正确