题目内容
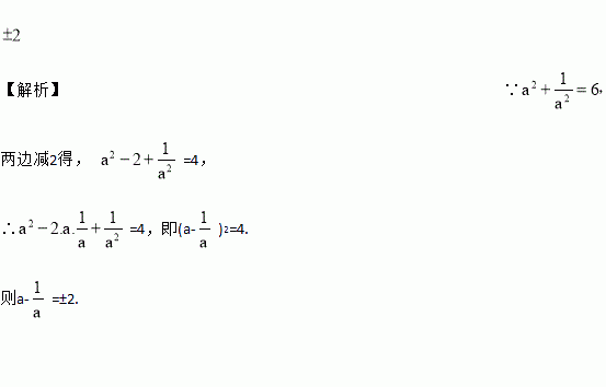
已知,则的值是______.
已知为线段的黄金分割点,且,则( ).
A. B. C. D.
如图,是⊙的直径,以为一边作等边,交⊙于点、,联结,若,则图中阴影部分的面积为__________.
已知二次函数的图象和x轴有交点,则k的取值范围是 ( )
A. k> B. k≥ C. k≥且k≠0 D. k>且k≠0
计算:
(1)、(x+y)2﹣(x+y)(x﹣y) (2)、(3+2b﹣1)(3﹣2b+1)
若是完全平方式,则常数k的值为( )
A. 6 B. 12 C. D.
下列运算正确的是( ).
如图,已知直线y=x与双曲线y=(k>0)交于A、B两点,点B坐标为(﹣4,﹣2),C为双曲线y=(k>0)上一点,且在第一象限内,若△AOC面积为6,则点C坐标为( )
A. (4,2) B. (2,3) C. (3,4) D. (2,4)
二次函数的图像不经过( )
A. 第一象限 B. 第二象限 C. 第三象限 D. 第四象限