题目内容
下列方程中是一元一次方程的是( )
A. B. C. D.
在同一平面直角坐标系中,函数与函数的图象交点个数是 ( )
A. 0个 B. 1个 C. 2个 D. 3个
若,则= _________ .
计算:
与是同类项,则 。
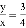
如图,抛物线y=ax2+bx+c的顶点为M(﹣2,﹣4),与x轴交于A、B两点,且A(﹣6,0),与y轴交于点C.
(1)求抛物线的函数解析式;
(2)求△ABC的面积;
(3)能否在抛物线第三象限的图象上找到一点P,使△APC的面积最大?若能,请求出点P的坐标;若不能,请说明理由.
计算: .
若,则的值为( ).
A. 1 B. C. D.
如图l所示,△ABO与△CDO称为“对顶三角形”,其中∠A+∠B=∠C+∠D.利用这个结论,在图2中,∠A十∠B+∠C+∠D+∠E+∠F+∠G=