下列分式的值,可以为零的是(  )

A. B. C. D.

C 【解析】A. ∵x2+1>0, ∴≠0; B. ∵x+1=0时,x=1,此时分母x2-1=0, ∴≠0; C. ∵x2+2x+1=0时,x=-1,此时分母x+1=0, ∴ ≠0; D. ∵x+1=0时,x=-1,此时分母x-1≠0, ∴当x=-1时, =0. 故选D.

下列各式变形正确的是( )

A. B. C. D.

C 【解析】A项,在原分式的分子分母上加上一个整式,等式不一定成立。故A项错误。 B项,由于b的值可能为0。故B项错误。 C项, )成立。故C项正确。 D项,在原分式的分子分母上加上一个整式,等式不一定成立。故D项错误。故本题正确答案为C。

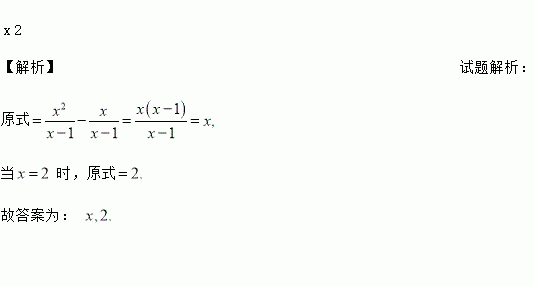
化简=______.

【解析】- =- =- =

计算: --

x+2 【解析】试题分析:根据分式加减的运算法则进行运算即可. 试题解析:原式

下列各式计算正确的是( )

A. B. C. D.

D 【解析】试题解析:A.原式故A错误; B.原式故B错误; C.原式故C错误; D.正确. 故选D.

在△ABC中,AB=AC,AD是BC边上的高,∠C=63°,BC=4,求∠BAD的度数及DC的长.

27° 2 【解析】试题分析:根据等腰三角形的两个底角相等求出顶角∠BAC的度数,再由等腰三角形的三线合一性质即可求出∠BAD=∠BAC=27°,DC=BC=2. 试题解析: ∵AB=AC,∠C=63°, ∴∠B=∠C=63°, ∴∠BAC=180°-63°-63°=54°. 又∵AD是BC边上的高, ∴AD是∠BAC的平分线,AD是BC边上的中线, ...

等腰三角形一腰上的高与另一腰的夹角为30°,则顶角的度数为( )

A. 60° B. 120° C. 60°或150° D. 60°或120°

D 【解析】试题分析:等腰三角形的高相对于三角形有三种位置关系,三角形内部,三角形的外部,三角形的边上.根据条件可知第三种高在三角形的边上这种情况不成了,因而应分两种情况进行讨论. 【解析】 当高在三角形内部时(如图1),顶角是60°; 当高在三角形外部时(如图2),顶角是120°. 故选D.

(3a-b)(3a+b)-(a+b)2

8a2-2b2-2ab 【解析】试题分析:先根据平方差公式与完全平方公式分别计算,再合并同类项即可. 试题解析: (3a-b)(3a+b)-(a+b)2=9a2-b2-a2-b2-2ab=8a2-2b2-2ab.

违法和不良信息举报电话:027-86699610 举报邮箱:58377363@163.com

精英家教网