对于分式,当x=__时,分式无意义;当x=__时,分式值为零.

3, -1 【解析】当x-3=0时,分式无意义, 解之得 x=3; 当 时,分式值为零, 解之得 x=-1.

关于的分式方程有增根x=—2,那么k=________________

1 【解析】分式方程去分母得:x+2?4=k(x?2), 由增根为x=?2,代入整式方程得:?2+2?4=?4k, 解得:k=1. 故答案为:1.

先化简,再求值:(,其中a=3.

2 【解析】试题分析:本题考查了分式的化简求值,先把括号里按照同分母分式的加减法化简,然后把除法转化为乘法,并把分子分母分解因式约分,最后代入求值即可. 【解析】 ()÷ =÷ =× =× =, 当a=3时, 原式===2.

化简等于( )

A. B. C. ﹣ D. ﹣

B 【解析】试题分析:原式=====,故选B.

化简的结果是__;当x=2时,原式的值为__.

x 2 【解析】试题解析: 原式 当时,原式 故答案为:

计算的结果为( )

A. 1 B. x C. D.

A 【解析】试题解析:原式 故选A.

在等腰△ABC中,AB=AC,其周长为20cm,则AB边的取值范围是( )

A. 1cm<AB<4cm B. 5cm<AB<10cm

C. 4cm<AB<8cm D. 4cm<AB<10cm

B 【解析】试题分析:∵在等腰△ABC中,AB=AC,其周长为20cm,∴设AB="AC=x" cm,则BC=(20﹣2x)cm,∴,解得5cm<x<10cm.故选B.

在半径为4cm 的圆中,挖去一个半径为xcm 的圆面,剩下一个圆环的面积为ycm2,则y与x的函数关系式为( )

A.y=x2-4 B.y=(2-x)2 C.y=-(x2+4) D.y=-x2+16

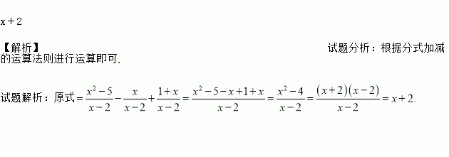
D 【解析】 试题分析:由题意用大圆的面积减去小圆的面积即可得到结果. 由题意得y与x的函数关系式为y=-x2+16,故选D.

违法和不良信息举报电话:027-86699610 举报邮箱:58377363@163.com

精英家教网