题目内容
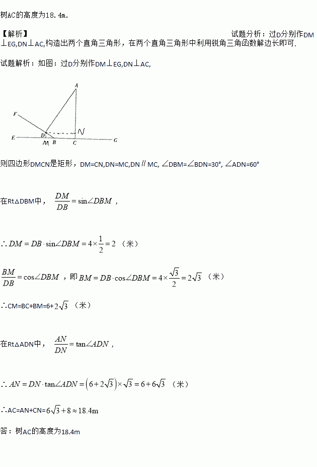
AC是一棵大树,BF是一个斜坡,坡角为30°,某时刻太阳光垂直照射斜坡BF,树顶端A的影子落到斜坡上的点D处,已知BC=6m,BD=4m,求树AC的高度.(结果精确到0.1m.参考数据: )
如果x,y满足方程组,那么x2-y2= __________
如图,在平面直角坐标系中,点O为坐标原点,直线l与抛物线y=mx2+nx相交于A(1,3 ),B(4,0)两点.
(1)求出抛物线的解析式;
(2)在坐标轴上是否存在点D,使得△ABD是以线段AB为斜边的直角三角形?若存在,求出点D的坐标;若不存在,说明理由;
(3)点P是线段AB上一动点,(点P不与点A、B重合),过点P作PM∥OA,交第一象限内的抛物线于点M,过点M作MC⊥x轴于点C,交AB于点N,若△BCN、△PMN的面积S△BCN、S△PMN满足S△BCN=2S△PMN,求出的值,并求出此时点M的坐标.
分解因式:a3﹣4a2+4a=_____.
的倒数是( )
A. ﹣1 B. ﹣2 C. D. 2
如图,两个半径相等的直角扇形的圆心分别在对方的圆弧上,半径AE、CF交于点G,半径BE、CD交于点H,且点C是的中点,若扇形的半径为2,则图中阴影部分的面积等于______.
若不等式组有解,则m的取值范围是( )
A. m>2 B. m<2 C. m≥2 D. m≤2
如图,在平面直角坐标系中,抛物线与轴交与点,与轴交于、两点,点坐标为,抛物线的对称轴方程为.
()求抛物线的解析式.
()点从点出发,在线段上以每秒个单位长度的速度向点运动,同时点从点出发,在线段上以每秒个单位长度的速度向点运动,其中一个点到达终点时,另一个点也停止运动,在点运动过程中,是否存在某一时刻,使为直角三角形?若存在,求出的值;若不存在,请说明理由.
()若点为抛物线对称轴上一点,当是直角三角形时,求点的坐标.
的算术平方根是( )
A. 4 B. ±4 C. 2 D. ±2