题目内容
把右面的式子配成完全平方式:x2-
x+____=(x-____)2
用配方法将右面的式子转化为(x+m)2+n的形式:x2+px+q=(x+____)2+________
【解析】【解析】 ; = =. 故答案为: , ; , .
练习册系列答案
相关题目
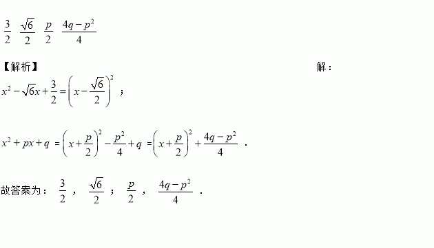
题目内容
把右面的式子配成完全平方式:x2-
x+____=(x-____)2
用配方法将右面的式子转化为(x+m)2+n的形式:x2+px+q=(x+____)2+________
【解析】【解析】 ; = =. 故答案为: , ; , .