题目内容
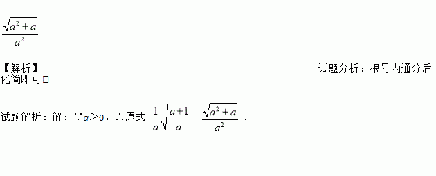
计算: (a>0)
如图, B 、 C在△ ADE的边 AD 、 AE上,且 AC=6, AB=5, EC=4, DB=7,则 BC: DE= _______.
一个自然数m,若将其数字重新排列可得一个新的自然数n,如果m=3n,我们称m是一个“希望数”.例如:3105=3×1035,71253=3×23751,371250=3×123750.
(1)请说明41不是希望数,并证明任意两位数都不可能是“希望数”.
(2)一个四位“希望数”M记为,已知,且c=2,请求出这个四位“希望数”.
下列多项式,能用完全平方公式分解因式的是( )
A. -x2-2x-1 B. x2-2x-1 C. x2+xy+y2 D. x2+4
已知三角形的三边x、y、z的长满足|x2-4|++=0,求这个三角形的周长.
已知=1-2a那么a的取值范围是( )
A. a> B. a< C. a≥ D. a≤
(9分)已知一次函数y=mx+3-m,当m为何值时,
(1)y随x值的增大而减小;
(2)一次函数的图象与直线y=-2x平行;
(3)一次函数的图象与x轴交于点(2,0).
如图,把直线y=-2x向上平移后得到直线AB,直线AB经过点(m,n),且2m+n=6,则直线AB的解析式是( )
A. y=-2x-3 B. y=-2x-6 C. y=-2x+3 D. y=-2x+6
下列各式不是最简二次根式的是( )
A. B. C. D.