题目内容
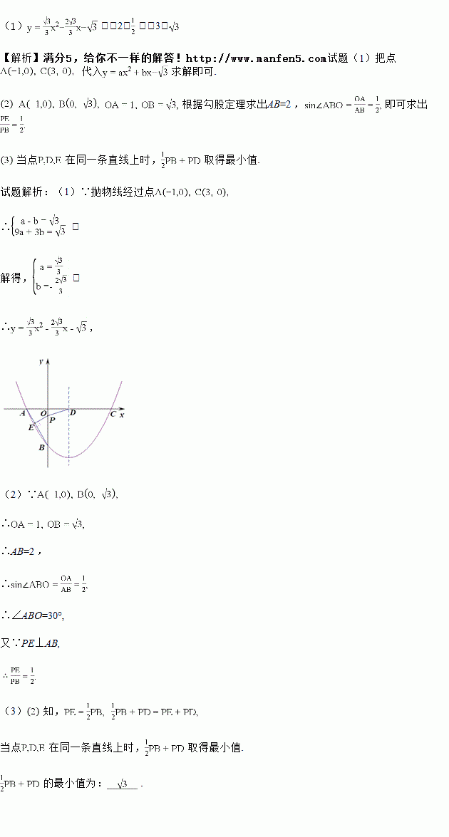
抛物线
分别交x轴于点A(-1,0),C(3,0),交y轴于点B,抛物线的对称轴与x轴相交于点D. 点P为线段OB上的点,点E为线段AB上的点,且PE⊥AB.
(1)求抛物线的表达式;
(2)计算
的值;
(3)请直接写出
的最小值为 .
![]()
练习册系列答案
相关题目
题目内容
抛物线
分别交x轴于点A(-1,0),C(3,0),交y轴于点B,抛物线的对称轴与x轴相交于点D. 点P为线段OB上的点,点E为线段AB上的点,且PE⊥AB.
(1)求抛物线的表达式;
(2)计算
的值;
(3)请直接写出
的最小值为 .
![]()