题目内容
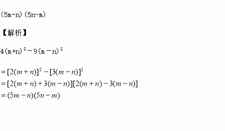
因式分【解析】4(m+n)2-9(m-n)2
设a,b,c都是实数,且满足(2﹣a)2++|c+8|=0,ax2+bx+c=0,求x2+2x﹣1的值.
京沈高速公路全长658km,汽车沿京沈高速公路从沈阳驶往北京,则汽车行完全程所需时间 t(h)与行驶的平均速度 v(km/h)之间的函数关系式为 .
如果x2-(m-1)x+1是一个完全平方式,则m的值为( )
A. -1 B. 1 C. -1或3 D. 1或3
若a、b、c为一个三角形的三边长,则式子(a-c)2-b2的值( )
A. 一定为正数 B. 一定为负数
C. 可能是正数,也可能是负数 D. 可能为0
若多项式x2+ax+b分解因式的结果为(x+1)(x-2),则a+b的值为__________.
分解因式-4x2y+2xy2-xy的结果是( )
A、-4(x2+2xy2-xy) B、-xy(-4x+2y-1)
C、-xy(4x-2y+1) D、-xy(4x-2y)
把x根号外的因数移到根号内,结果是( )
A. B. C. - D. -
已知是整数,则满足条件的最小正整数n为________