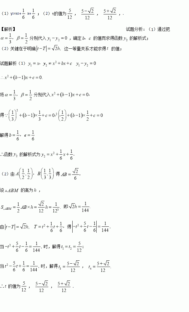
题目内容
已知函数y1=x,y2=x2+bx+c,α,β为方程y1-y2=0的两个根,点M(t,T)在函数y2的图象上.
(1)若α=
,β=
,求函数y2的解析式;
(2)在(1)的条件下,若函数y1与y2的图象的两个交点为A,B,当△ABM的面积为
时,求t的值;
练习册系列答案
相关题目
某校决定对初三学生进行体育成绩测试,成绩记入总分,同学们将根据自己平时的运动成绩确定自己的参考项目,下面是小亮同学的两个项目立定跳远和一分钟跳绳在近期连续五次测试的得分情况(立定跳远得分统计表和一分钟跳绳得分折线图):
立定跳远得分统计表
测试 日期 | 星期一 | 星期二 | 星期三 | 星期四 | 星期五 |
得分 | 7 | 10 | 8 | 9 | 6 |
![]()
(1)请根据以上信息,分别将这两个项目的平均数、极差、方差填入下表:
统计量 | 平均数 | 极差 | 方差 |
立定跳远 | 8 | ||
一分钟跳绳 | 2 | 0.4 |
(2)根据以上信息,你认为在立定跳远和一分钟跳绳这两个项目中,小亮应选择哪个项目作为体育考试的参考项目?请简述理由.