题目内容

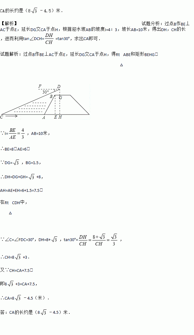
如图,小华站在河岸上的G点,看见河里有一小船沿垂直于岸边的方向划过来.此时测得小船C的俯角是∠FDC=30°.若小华的眼睛与地面的距离是米,BG=1.5米,BG平行于AC所在的直线,迎水坡i=4:3,坡长AB=10米,点A、B、C、D、F、G在同一平面内,则此时小船C到岸边的距离CA的长是多少?(结果保留根号)

CA的长约是(8﹣4.5)米. 【解析】试题分析:过点B作BE⊥AC于点E,延长DG交CA于点H,根据迎水坡AB的坡度i=4:3,坡长AB=10米,得出DH,CH的长,进而利用tan∠DCH==tan30°,求出CA即可. 试题解析:过点B作BE⊥AC于点E,延长DG交CA于点H,得Rt△ABE和矩形BEHG. ∵i=,AB=10米, ∴BE=8,AE=6. ∵DG=...
练习册系列答案
相关题目

违法和不良信息举报电话:027-86699610 举报邮箱:58377363@163.com

精英家教网