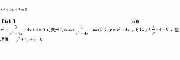
题目内容

在方程中,如果设y=x2﹣4x,那么原方程可化为关于y的整式方程是__.

【解析】方程可变形为x2-4x++4=0,因为,所以,整理得,
练习册系列答案
相关题目

一个多边形的内角和是外角和的5倍,那么这个多边形的边数是( )

A. 10 B. 12 C. 6 D. 7

B 【解析】设这个多边形的边数为n,由题意则有 (n-2)•180°=360°×5, 解得n=12, 故选B.

的值为,则的值是( )

A. B. C. D.

C 【解析】由题意得: ,则= . 故选C.

某市从今年1月1日起调整居民用水价格,每吨水费上涨三分之一,小丽家去年12月的水费是15元,今年2月的水费是30元.已知今年2月的用水量比去年12月的用水量多5吨,求该市今年居民用水的价格?

该市今年居民用水的价格为2元/吨. 【解析】试题分析: 设该市去年居民用水价格为元/吨,则今年用水价格为元/吨,由此可得小丽家去年12月用水量为吨,今年2月用水量为吨,结合今年2月水费是30元可列出方程,解方程即可得到去年用水价格,由此即可求出今年居民用水价格. 试题解析: 该市去年居民用水价格为元/吨,根据题意得: , 解此方程得: , 经检验: 是原方...

若分式有意义,则x的取值范围为_________.

x≠-1 【解析】由题意得 x+1≠0, ∴x≠-1.

如图所示,已知l1∥l2,AB∥CD,CE⊥l2于点E,FG⊥l2于点G,则下列说法错误的是( )

A. AB=CD

B. CE=FG

C. l1与l2之间的距离就是线段CE的长度

D. l1与l2之间的距离就是线段CD的长度

D 【解析】∵l1∥l2,AB∥CD, ∴四边形ABDC是平行四边形, ∴AB=CD,故选项A正确; ∵CE⊥l2于点E,FG⊥l2于点G, ∴CE∥FG, ∴四边形CEGF为平行四边形, ∴CE=FG,CF=EG,故选项B、C正确, ∵CD>EC,AB=CD, ∴AB>FG,故选项D错误. 故选D.

已知M= ,N= ,若a≠1,则M与N的大小关系为( )

A. M>N B. M<N C. M≤N D. M≥N

C 【解析】∵M=,N=, ∴M-N=- = = =-≤0, ∴M≤N. 故选C.

违法和不良信息举报电话:027-86699610 举报邮箱:58377363@163.com

精英家教网