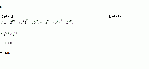
题目内容
若m=2100,n=375,则m、n的大小关系正确的是( )
A. m>n B. m<n C. 相等 D. 大小关系无法确定
下列交通标志是轴对称图形的是( )
A. B. C. D.
已知某矩形的面积为20cm 2.
(1)写出其长 y与宽 x之间的函数表达式.
(2)当矩形的长为12cm时,求宽为多少?当矩形的宽为4cm,求其长为多少?
(3)如果要求矩形的长不小于8cm,其宽至多要多少?
因式分【解析】
(1)xy-y=________;(2)4x2-24x+36=________.
计算(-x2y)2的结果是( )
A. x4y2 B. -x4y2 C. x2y2 D. -x2y2
(1)4ax2-9ay2; (2)6xy2-9x2y-y3.
分解因式:x3-6x2+9x= .
若,求xy的值.
下列各式: , , , 中,是二次根式的有________.