题目内容
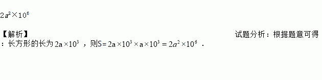
若长方形的宽是a×103cm,长是宽的2倍,则长方形的面积为______cm2.
若关于x的一元二次方程kx2+2x-1=0有实数根,则实数k的取值范围是( )
A. k≥-1 B. k>-1 C. k≥-1且k≠0 D. k>-1且k≠0
已知10m=3,10n=2,则102m-n的值为 .
如图,将一块直角三角板的直角顶点放在直尺的一边上.如果∠1=50°,那么∠2的度数是( )
A. 30° B. 40° C. 50° D. 60°
世界上最大的金字塔是埃及的胡夫金字塔,这座金字塔共用了约为2.3×106块巨石,每块巨石的质量约为2.5×103kg,胡夫金塔所用巨石的总质量约为多少千克?
下列各式中,计算正确的是( )
A. (-5an+1b)·(-2a)=-10an+2b B. (-4a2b)·(-a2b2)·(b3c)=2a4b6c
C. (-3xy)·(-x2z)·6xy2=3x3y3z D. (2anb3)(-abn-1)=-an+1b3n-3
如果三角形的一边长为m2+n2,该边上的高为4m2n,那么这个三角形的面积为___.
用简便方法计算:1002-992+982-972+…22-12
如图,MN是⊙O的直径,MN=2a,∠AMN=40°,点B为弧AN的中点,点P是直径MN上的一个动点,则 PA+PB的最小值为_____.(用含a的代数式表示)