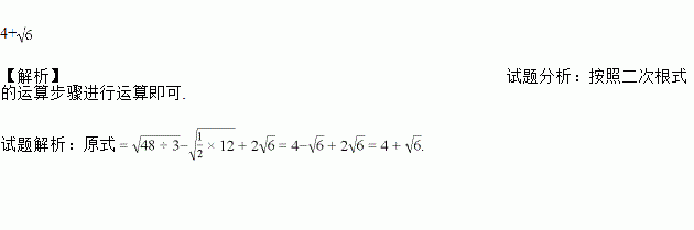
题目内容
计算:.
顺次连接一个四边形各边的中点,得到一个矩形,则原四边形一定是( )
A. 菱形 B. 矩形 C. 对角线相等的四边形 D. 对角线垂直的四边形
阅读下面的材料
勾股定理神秘而美妙,它的证法多种多样,下面是教材中介绍的一种拼图证明勾股定理的方法.
先做四个全等的直角三角形,设它们的两条直角边分别为a,b,斜边为c,然后按图1的方法将它们摆成正方形.
由图1可以得到,
整理,得.
所以.
如果把图1中的四个全等的直角三角形摆成图2所示的正方形,
请你参照上述证明勾股定理的方法,完成下面的填空:
由图2可以得到 ,
整理,得 ,
所以 .
已知一组数据3,a,4,5的众数为4,则这组数据的平均数为( )
A. 3 B. 4 C. 5 D. 6
如图,△ABC中,D是BC上的一点,若AB=10,BD=6,AD=8,AC=17,求△ABC的面积.
函数y=的自变量x的取值范围是_____.
在?ABCD中,∠B+∠D=260°,那么∠A的度数是( )
A. 130° B. 100° C. 50° D. 80°
(﹣2a2)(a﹣3)=_____.
设,,,…,是n个互不相同的正整数,且+++…+=2017,则n的最大值是______.