题目内容
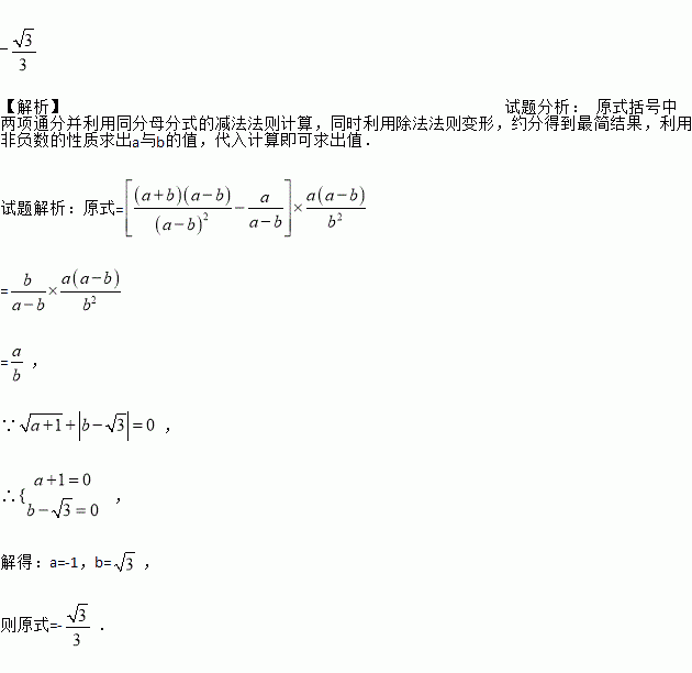
先化简,再求值:()÷,其中a,b满足+|b﹣|=0.
若点(2,1)是反比例函数的图象上一点,当y=6时,则x=________.
下列各数是无理数的是
A. -5 B. C. 4.121121112 D.
若是关于的方程的解,则的值为( )
A. B. C. D.
如图,在矩形ABCD中,AB=5,BC=3,将矩形ABCD绕点B旋转得到矩形GBEF.
(1)观察发现:在旋转的过程中, 的值不变,这个数值是 ;
(2)问题解决:当点G落在直线CD上时,求CE的长;
(3)数学思考:在旋转的过程中,CE是否有最大值,如果有,请直接写出;如果没有,试说明理由.
若,则等于_____.
如图,在平行四边形ABCD中,点E在边DC上,DE:EC=3:1,连接AE交BD于点F,则△DEF的面积与△BAF的面积之比为( )
A. 3:4 B. 9:16 C. 9:1 D. 3:1
若多项式2(x2-xy-3y2)-(3x2-axy+y2)中不含xy项,则a=____,化简结果为_____.
现有一只蜗牛和一只乌龟从同一点分别沿正东和正南方向爬行,蜗牛的速度为14厘米/分钟,乌龟的速度为48厘米/分钟,5分钟后,蜗牛和乌龟的直线距离为( )
A. 300厘米 B. 250厘米 C. 200厘米 D. 150厘米