下列选项中的四边形只有一个为平行四边形,根据图中所给的边长长度及角度,判断哪一个为平行四边形?(  )

A.

B.

C.

D.

B 【解析】解:A.上、下这一组对边平行,可能为等腰梯形; B.上、下这一组对边平行,可能为等腰梯形,但此等腰梯形底角为90°,所以为平行 四边形; C.上、下这一组对边平行,可能为梯形; D.上、下这一组对边平行,可能为梯形; 故选B.

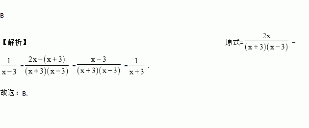
计算等于( )

A. B. C. D.

B 【解析】试题解析: ,故答案是B选项 故选B.

已知x-y=xy,则_______________.

-1 【解析】试题分析: = = = =-1. 故答案为-1.

计算的结果是( )

A. - B. C. D.

C 【解析】试题分析:原式= = =. 故选C.

某工厂用如图甲所示的长方形和正方形纸板,做成如图乙所示的竖式与横式两种长方体形状的无盖纸盒.

(1)现有正方形纸板162张,长方形纸板340张.若要做两种纸盒共100个,设做竖式纸盒x个.

①根据题意,完成以下表格:

纸盒

纸板

竖式纸盒(个)

横式纸盒(个)

x

100﹣x

正方形纸板(张)

2(100﹣x)

长方形纸板(张)

4x

②按两种纸盒的生产个数来分,有哪几种生产方案?

(2)若有正方形纸162张,长方形纸板a张,做成上述两种纸盒,纸板恰好用完.已知290<a<306.求a的值.

(1)①见解析;②有三种方案:生产竖式纸盒38个,横式纸盒62个;生产竖式纸盒39个,横式纸盒61个;生产竖式纸盒40个,横式纸盒60个; (2)293或298或303(写出其中一个即可). 【解析】试题分析:(1)①可根据竖式纸盒+横式纸盒=100个,每个竖式纸盒需1个正方形纸板和4个长方形纸板,每个横式纸盒需3个长方形纸板和2个正方形纸板来填空. ②生产竖式纸盒用的正方形纸板...

现有球迷150人欲同时租用A,B,C三种型号客车去观看世界杯足球赛,其中A,B,C三种型号客车载容量分别为50人,30人,10人,要求每辆车必须满载,其中A型客车最多租两辆,则球迷们一次性到达赛场的租车方案有(  )

A. 3种 B. 4种 C. 5种 D. 6种

B 【解析】此题首先注意租用A型号客车时分两种情况讨论,进而列出方程,再进一步根据车辆数是整数进行分析. 【解析】 设B、C两种车分别租a辆、b辆. ①当A型号租用1辆时,则有 30a+10b=150﹣50, 3a+b=10. 又a,b是整数, 则a=1,b=7或a=2,b=4或a=3,b=1. ②当A型号租用2辆时,则有 30a+10b=1...

如图1,四边形ABCD中,AD∥BC,∠ABC=∠DCB,AB=DC。

(1)求证:AC=DB;

(2)如图2,E、F两点同时从A、D出发在直线AD上以相同的速度反向而行,BF和CE会相等吗?请证明你的结论。

(1)证明见解析(2)BF=CE 【解析】试题分析: (1)由∠ABC=∠DCB,AB=DC结合BC=CB即可证得:△ABC≌△DCB,从而可得AC=DB; (2)由题意可得AE=DF,从而可得AF=DE,由AD∥BC结合∠ABC=∠DCB,易得∠BAD=∠CDA,再结合AB=DC即可证得△BAF≌△CDE,从而可得BF=CE. 试题解析: (1)在△ABC和△DCB...

违法和不良信息举报电话:027-86699610 举报邮箱:58377363@163.com

精英家教网