题目内容
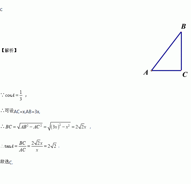
在中, ,那么的值是( )
A. B. C. D.
有6张写有数字的卡片,它们的背面都相同,现将它们背面朝上(如图),从中任意摸出一张是数字3的概率是( )
如图,在△ABC中,AB=AC=13,BC=10,点D为BC的中点,DE⊥AB,垂足为点E,则DE的长为( )
计算: .
某水库大坝,其坡面AB的坡度i=1∶,则斜坡AB的坡角的度数为____°.
如果, 那么的值是( )
计算
(). ().
如果一个实数的平方根与它的立方根相等,则这个数是( ).
A. 和 B. 正实数 C. D.
如图,点B、E、C、F在同一条直线上,BE=CF,∠A=∠D,∠1=∠2.求证:AC=DE.