题目内容

【题目】如图,直线y=﹣ x+1与x轴交于点A,与y轴交于点B,抛物线y=﹣x2+bx+c经过A,B两点.

(1)求抛物线的解析式;
(2)点P是第一象限抛物线上的一点,连接PA、PB、PO,若△POA的面积是△POB面积的 倍.
①求点P的坐标;
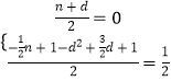
②点Q为抛物线对称轴上一点,请直接写出QP+QA的最小值;
(3)点M为直线AB上的动点,点N为抛物线上的动点,当以点O、B、M、N为顶点的四边形是平行四边形时,请直接写出点M的坐标.

【答案】
(1)

解:∵直线y=﹣ x+1与x轴交于点A,与y轴交于点B,

∴A(2,0),B(0,1),

∵抛物线y=﹣x2+bx+c经过A、B两点,

∴抛物线解析式为y=﹣x2+ x+1


(2)

解:①由(1)知,A(2,0),B(0,1),

∴OA=2,OB=1,

由(1)知,抛物线解析式为y=﹣x2+ x+1,

∵点P是第一象限抛物线上的一点,

∴设P(a,﹣a2+ a+1),((a>0,﹣a2+ a+1>0),

∴SPOA= OA×Py= ×2×(﹣a2+ a+1)=﹣a2+ a+1

SPOB= OB×Px= ×1×a= a

∵△POA的面积是△POB面积的 倍.

∴﹣a2+ a+1= × a,

∴a= 或a=﹣ (舍)

∴P( ,1);

②如图1,

由(1)知,抛物线解析式为y=﹣x2+ x+1,

∴抛物线的对称轴为x= ,抛物线与x轴的另一交点为C(﹣ ,0),

∵点A与点C关于对称轴对称,

∴QP+QA的最小值就是PC=


(3)

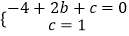
①当OB为平行四边形的边时,MN=OB=1,MN∥OB,

∵点N在直线AB上,

∴设M(m,﹣ m+1),

∴N(m,﹣m2+ m+1),

∴MN=|﹣m2+ m+1﹣(﹣ m+1)|=|m2﹣2m|=1,

Ⅰ、m2﹣2m=1,

解得,m=1±

∴M(1+ (1﹣ ))或M(1﹣ (1+ ))

Ⅱ、m2﹣2m=﹣1,

解得,m=1,

∴M(1, );

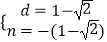
②当OB为对角线时,OB与MN互相平分,交点为H,

∴OH=BH,MH=NH,

∵B(0,1),O(0,0),

∴H(0, ),

设M(n,﹣ n+1),N(d,﹣d2+ d+1)

∴M(﹣(1+ ), (3+ ))或M(﹣(1﹣ ), (3﹣ ));

即:满足条件的点M的坐标(1+ (1﹣ ))或(1﹣ ,﹣ (1+ ))或(1, )或M(﹣(1+ ), (3+ ))或M(﹣(1﹣ ), (3﹣ ))


【解析】(1)先确定出点A,B坐标,再用待定系数法求出抛物线解析式;(2)设出点P的坐标,①用△POA的面积是△POB面积的 倍,建立方程求解即可;②利用对称性找到最小线段,用两点间距离公式求解即可;(3)分OB为边和为对角线两种情况进行求解,①当OB为平行四边形的边时,用MN∥OB,表示和用MN=OB,建立方程求解;
②当OB为对角线时,OB与MN互相平分,交点为H,设出M,N坐标用OH=BH,MH=NH,建立方程组求解即可.

练习册系列答案
相关题目

违法和不良信息举报电话:027-86699610 举报邮箱:58377363@163.com

精英家教网