题目内容
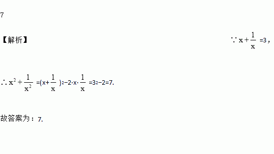
若,则= .
一个多边形的每一个外角都是15°,它是 _______边形.
计算题:
(1)18+12﹣15+(﹣17);(2)(﹣5)×3+(﹣6)÷(﹣2);
(3)(﹣﹣)×(﹣24);(4)﹣22+[12﹣(﹣3)×2]÷(﹣3)
下列各有理数中,最小的数是( )
A. ﹣1 B. 2 C. 0 D. ﹣
先化简,再求值. 的值,其中x=2.
如图,若△OAD≌△OBC,且∠0 =65,∠C =20,则∠OAD= .
已知等腰三角形两边长是8cm和4cm,那么它的周长是( )
A. 12cm B. 16cm C. 16cm或20cm D. 20cm
如图,将一副三角板的直角顶点重合,摆放在桌面上,若∠BOC=∠AOD,则∠AOD=____.
如图,OD是∠AOB的平分线,OE是∠BOC的平分线,且∠AOC=130°,求∠DOE的度数.