题目内容
在Rt△ABC中,∠C=90,AC=12,cosA=
,则tanA等于( )
A.
B.
C.
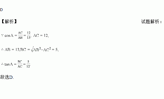
D. ![]()
练习册系列答案
相关题目
(本题8分)A、B两地分别有水泥20吨和30吨,C、D两地分别需要水泥15吨和35吨;已知从A、B到C、D的运价如下表:
到C地 | 到D地 | |
A地 | 每吨15元 | 每吨12元 |
B地 | 每吨10元 | 每吨9元 |
(1)若从A地运到C地的水泥为x吨,则用含x的式子表示从A地运到D地的水泥 吨,从A地将水泥运到D地的运输费用为 元.
(2)用含x的代数式表示从A、B两地运到C、D两地的总运输费,并化简该式子.
(3)当总费用为545元时水泥该如何运输调配?
(1);(2) . 【解析】 试题分析:(1)地共水泥,运往地,则运往地的水泥只能是;则从地运往地的费用为元.(2)因为,两地分别需要水泥, ,所以从地运往地, 从地运往地. 所以,地运往,地的总费用为: .(3)由(2)得:知道总费用,便可构造方程解出水泥该如何调配. 试题解析:(1)地共水泥,运往地,则运往地的水泥只能是;则从地运往地的费用为元.(2)因为,两地分别需要...