题目内容
如果把分式
中的x和y的值都扩大为原来的3倍,那么分式的值
A. 扩大为原来的3倍 B. 扩大6倍
C. 缩小为原来的12倍 D. 不变
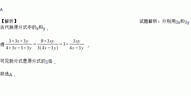
A 【解析】试题解析:分别用3x和3y去代换原分式中的x和y, 得, 可见新分式是原分式的3倍. 故选A.
练习册系列答案
相关题目
题目内容
如果把分式
中的x和y的值都扩大为原来的3倍,那么分式的值
A. 扩大为原来的3倍 B. 扩大6倍
C. 缩小为原来的12倍 D. 不变
A 【解析】试题解析:分别用3x和3y去代换原分式中的x和y, 得, 可见新分式是原分式的3倍. 故选A.