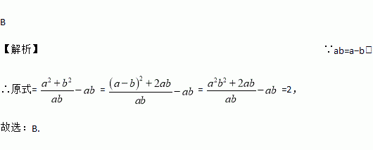
题目内容
已知非零实数a,b满足,则的值为( )
A. B. 2 C. D.
已知a、b、c为△ABC的三边长,化简:.
若△ABC∽△DEF,且对应边BC与EF的比为1∶3,则△ABC与△DEF的面积比等于_________.
先化简再求值:
(1),其中, .
(2)已知x2-2=0,求代数式的值.
若a<1,化简=_________.
下面式子从左边到右边的变形是因式分解的是( )
A. B.
C. D.
如图,在4×3的正方形网格中,阴影部分是由4个正方形组成的一个图形,请你用两种方法分别在下图方格内添涂2个小正方形,使这6个小正方形组成的图形是轴对称图形,并画出其对称轴.
实验表明,人体内某种细胞的形状可近似地看作球体,它的直径约为0.00000156m,数字0.00000156用科学记数法表示为___________.
如图,点E,F在BC上, , , ,试说明.