题目内容
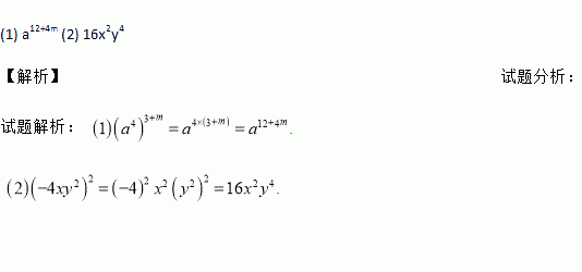
计算:(1)(a4)3+m (2)(-4xy2)2
若直线y=kx(k>0)与双曲线y=的交点为(x1 , y1)、(x2 , y2),则2x1y2﹣5x2y1的值为________.
某市某一周的PM2.5(大气中直径小于等于2.5微米的颗粒物,也称可入肺颗粒物)指数如下表,则该周PM2.5指数的众数和中位数分别是( )
A. 150,150 B. 150,155 C. 155,150 D. 150,152.5
若3x+4y-5=0,则8x·16y的值是( )
A. 64 B. 8 C. 16 D. 32
计算(a2)3的结果是( )
A. a5 B. a6 C. a8 D. 3a2
若,则n=__________.
计算(﹣3a2)2的结果是( )
A.3a4 B.﹣3a4 C.9a4 D.﹣9a4
如图,正比例函数的图象与反比例函数的图象交于A、B两点,过点A作AC垂直x轴于点C,连结BC.若△ABC的面积为2.
(1)求k的值;
(2)x轴上是否存在一点D,使△ABD为直角三角形?若存在,求出点D的坐标;若不存在,请说明理由.
如图,数轴上有A,B,C,D四个点,其中表示2的相反数的点是( )
A. 点A B. 点B C. 点C D. 点D