3、饱和Na2CO3溶液的作用。①.乙酸乙酯在饱和Na2CO3溶液中的溶解度较小,减小溶解,利于分层。②挥发出的乙酸与Na2CO3反应,除掉乙酸;挥发出的乙醇被Na2CO3溶液吸收。避免乙酸特殊气味干扰乙酸乙酯的气味。

典例剖析

[例1] 某有机物分子式是C3H4O2,它的水溶液显酸性,既能跟碳酸钠溶液反应,能使溴水褪色。写出这种有机物的结构简式。

解析:分子中含有两个氧原子,水溶液呈酸性,能跟碳酸钠溶液反应,应属于羧酸。从分子中氢原子数看,烃基不饱和,使溴水褪色发生的是加成反应。可判断分子中含有不饱和碳碳键和羧基。答案:CH2==CHCOOH。

[例2]下列化合物中,既显酸性,又能发生酯化反应和消去反应的是

 

解析:根据各类官能团的性质判断:"-COOH"显酸性,"-COOH"和"-OH"能发生酯化反应,含有"-OH"或"-X"的能发生消去反应。综合判断,只有C符合题意。

[例3]将质量相等的下列各物质完全酯化时,需醋酸质量最多的是

  A.甲醇  B.乙二醇  C.丙醇  D.甘油

解析:若某醇质量为1g,该醇分子量为M,该醇分子量含有x个羟基。则1g该醇含羟基(也即酯化时需羧基或醋酸)物质的量为:,  比较4种醇值,即可判断出正确答案。

   ,可见,相等质量的4种醇中,甘油酯化消耗的醋酸最多。故正确答案为D。

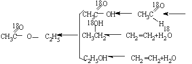
[例4]怎样以H2O、H218O、空气、乙烯为原料制取?写出有关反应的化学方程式。

解析:解题时,可采用从最终的目标产物倒推原料(或中间产物)的方法。如:

 

答案: 有关反应的化学方程式为:

 

知能练习

 0  19431  19439  19445  19449  19455  19457  19461  19467  19469  19475  19481  19485  19487  19491  19497  19499  19505  19509  19511  19515  19517  19521  19523  19525  19526  19527  19529  19530  19531  19533  19535  19539  19541  19545  19547  19551  19557  19559  19565  19569  19571  19575  19581  19587  19589  19595  19599  19601  19607  19611  19617  19625  447348 

违法和不良信息举报电话:027-86699610 举报邮箱:58377363@163.com

精英家教网