13.
14.矩形ABCD中,AB=2,AD, H是AB中点,以H为直角顶点作矩形的内接直
角三角形HEF,其中E、F分别落在线段BC和线段AD上如图.记∠BHE为,记
的周长为l.
(1)试将表示为的函数;
(2)求的最小值及此时的.
南师大附校09高考二轮复习限时训练(十二)
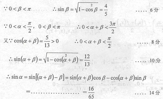
13.已知.求和.
12.己知是R上的增函数,且,设<,<,若,则集合P,Q之间的关系是 ;
11. ;
10.已知,则函数的零点个数是 ;
9.方程在[0,1]上有实数根,则m的最大值是
;
8.若,则 ;
7.已知函数的定义域为,它的导函数,
的图象如图所示,则的单调增区间为 ;
6.设函数是奇函数且周期为3,则,则 ;