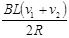
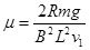
0  60431  60439  60445  60449  60455  60457  60461  60467  60469  60475  60481  60485  60487  60491  60497  60499  60505  60509  60511  60515  60517  60521  60523  60525  60526  60527  60529  60530  60531  60533  60535  60539  60541  60545  60547  60551  60557  60559  60565  60569  60571  60575  60581  60587  60589  60595  60599  60601  60607  60611  60617  60625  176998 

违法和不良信息举报电话:027-86699610 举报邮箱:58377363@163.com

精英家教网