题目内容
如图所示,某小型水电站发电机的输出功率为10kW,输出电压为400V,向距离较远的用户供电,为了减少电能损失,使用2kV高压输电,最后用户得到220V、9.5kW的电力,求:
![]()
(1)水电站升压变压器原、副线圈匝数比![]()
(2)输电线路导线电阻R。
(3)用户降压变压器原、副线圈匝数比
。
【答案】
(1)1:5;(2)20Ω;(3)95:11。
【解析】
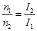
试题解析:(1)由于升压变压器的原线圈的电压为400V,副线圈的电压为2000V,故水电站升压变压器原、副线圈匝数比
。
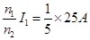
(2)由于升压变压器中原线圈的电流为I1=
=25A,
故根据公式
,副线圈上的电流为I2=
=5A,
输电线上损失的电功率为△P=10kW-9.5kW=500W,故输电线路导线电阻R=
=20Ω;
(3)降压变压器原线圈电压U3=U2-I2R=(2000V-5A×20Ω)=1900V,降压变压器副线圈电压U4=220V,
故降压变压器原、副线圈匝数比![]()
。
考点:变压器的电压、电流与匝数的关系,高压输电,电功率的简单计算等。
练习册系列答案
相关题目
如图所示为某小型水电站的电能输送示意图,A为升压变压器,其输入功率为P1输出功率为P2,输出电压为U2;B为降压变压器,其输人功率为P3,输入电压为U3.A、B均为理想变压器,输电电流为I,输电线的总电阻为r,则下列关系正确的是( )

| A、U2=U3 | B、U2=U3+Ir | C、P1>P2 | D、P2=P1 |