题目内容
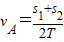
做初速度为零的匀加速直线运动的物体在时间T内通过位移s1到达A点,接着在时间T内又通过位移s2到达B点,则以下判断正确的是( )A.物体在A点的速度大小为
B.物体运动的加速度为
C.物体运动的加速度为
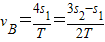
D.物体在B点的速度大小为
【答案】分析:正确解答本题需要掌握:匀变速直线运动特点,熟练应用匀变速直线运动的推论公式进行有关问题的解答,如:
,△x=aT2等.
解答:解:A、A点为该过程中时间的中点,根据匀变速直线运动规律可知,该点的瞬时速度等该过程中的平均速度,即
,故A正确;
B、由△s=aT2得物体的加速度为
,故B错误,C正确;
D、在该加速运动过程中有:
,其中s2=3s1,所以有
,故D正确.
故选ACD.
点评:匀变速直线运动中有很多推论公式,对于这些公式同学们要会正确推导和熟练应用.
解答:解:A、A点为该过程中时间的中点,根据匀变速直线运动规律可知,该点的瞬时速度等该过程中的平均速度,即
B、由△s=aT2得物体的加速度为
D、在该加速运动过程中有:
故选ACD.
点评:匀变速直线运动中有很多推论公式,对于这些公式同学们要会正确推导和熟练应用.
练习册系列答案
相关题目
做初速度为零的匀加速直线运动的物体,在时间T内通过位移x1到达A点,接着在时间T内又通过位移x2到达B点,则以下判断正确的是( )
A、物体在A点的速度大小为
| ||
B、物体运动的加速度为
| ||
C、物体运动的加速度为
| ||
D、物体在B点的速度大小为
|