题目内容

一个电量为1×10-5 C的正电荷从电场外移到电场里的A点,电场做功-6×10-3 J,则A点的电势UA等于多少?如果此电荷移到电场里的另一点B,电场力做功2×10-3,则A、B两点间的电势差UAB等于多少?如果有另一电量是=2×10-5 C的负电荷从A移到B,则电场力做功为多少?

答案:
解析:

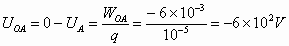
  由于电荷两次都是从电场外移入电场的,故选电场外电势为零解题方便.

  由  可得

  

    

  

  A、B两点间电势差:UAB=UA-UB6×102(2×103)=2.6×103 V

  当电荷由A移到B时电场力做功:

  


练习册系列答案
相关题目

违法和不良信息举报电话:027-86699610 举报邮箱:58377363@163.com

精英家教网