ÌâÄ¿ÄÚÈÝ

ÈçͼABÊÇÒ»¶ÎλÓÚÊúÖ±Æ½ÃæÄڵĹ⻬¹ìµÀ£¬¸ß¶ÈΪh£¬Ä©¶ËB´¦µÄÇÐÏß·½Ïòˮƽ£¬Ò»¸öÖÊÁ¿ÎªmµÄСÎï¿éP´Ó¹ìµÀ¶¥¶ËA´¦¾²Ö¹ÊÍ·Å£¬»¬µ½B¶Ëºó·É³ö£¬Âäµ½µØÃæÉϵĵãC£¬ÒÑÖªËüÂ䵨Ïà¶ÔÓÚµãBµÄË®Æ½Î»ÒÆ£®ÏÖÔÚ¹ìµÀÏ·½½ôÌùµãB°²×°Ò»Ë®Æ½´«ËÍ´ø£¬´«ËÍ´øµÄÓÒ¶ËÓëB¼äµÄ¾àÀëΪ£¬µ±´«ËÍ´ø¾²Ö¹Ê±ÈÃÎïÌåPÔٴδӵãAÓɾ²Ö¹ÊÍ·Å£¬ËüÀ뿪¹ìµÀ²¢ÔÚ´«ËÍ´øÉÏ»¬Ðкó´ÓÓÒ¶Ëˮƽ·É³ö£¬ÈÔÈ»ÂäÔÚµØÃæµÄµãC£®È¡g£½10 m/s2£®

(1)ÇóÎïÌåP»¬ÖÁBµãʱµÄËÙ¶È´óС£»

(2)ÇóÎïÌåPÓë´«ËÍ´øÖ®¼äµÄ¶¯Ä¦²ÁÒòÊý£»

(3)ÈôƤ´øÂÖÔµÒÔµÄÏßËÙ¶È˳ʱÕëÔÈËÙת¶¯£¬ÇóÎïÌåÂäµãDµ½OµãµÄ¾àÀ룮

´ð°¸£º
½âÎö£º

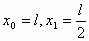
¡¡¡¡½â£º(1)¸ù¾Ý»úеÄÜÊØºã¶¨ÂÉÓС¡(1·Ö)

¡¡¡¡½âµÃ¡¡(1·Ö)

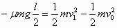
¡¡¡¡(2)ÔÚÁ½ÖÖÇé¿öÏÂÎïÌåPÔÚ¿ÕÖеÄÔ˶¯Ê±¼äÏàͬ£¬¡¡(1·Ö)

¡¡¡¡¡¡(1·Ö)

¡¡¡¡¸ù¾Ý¶¯Äܶ¨ÀíÓС¡(1·Ö)

¡¡¡¡½âµÃ¡¡(1·Ö)

¡¡¡¡(3)·ÖÎö¿ÉÖªÎïÌåÔÚ´«ËÍ´øÉÏÏȼõËÙºóÔÈËÙÔ˶¯£¬½Ó×ÅÒԵijõËÙ¶ÈÆ½Å×£¬¡¡(1·Ö)

¡¡¡¡ÉèÂ䵨µãΪD

¡¡¡¡¡¡(1·Ö)

¡¡¡¡ÓɵÚ(2)ÎÊÖª¡¡(1·Ö)

¡¡¡¡ÓÉÒÔÉÏÁ½Ê½ÁªÁ¢½âµÃ¡¡(1·Ö)

¡¡¡¡¡¡(2·Ö)


Á·Ï°²áϵÁдð°¸
Ïà¹ØÌâÄ¿

Î¥·¨ºÍ²»Á¼ÐÅÏ¢¾Ù±¨µç»°£º027-86699610 ¾Ù±¨ÓÊÏ䣺58377363@163.com

¾«Ó¢¼Ò½ÌÍø