题目内容

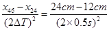
一小球在桌面上从静止开始做匀加速运动,现用高速摄影机在同一底片上多次曝光,记录下小球每次曝光的位置,并将小球的位置编号。如图所示,1位置恰为小球刚开始运动的瞬间,摄影机连续两次曝光的时间间隔均为0.5s,小球在4位置时的瞬时速度为  m/s,在该过程中小球的加速度为  m/s2

 

 

【答案】

0.18;0.12。

【解析】

试题分析:小球在4位置时的瞬时速度为v==18cm/s=0.18m/s;该过程中小球的加速度为a==0.12m/s2

考点:瞬时速度与加速度的计算。

 

练习册系列答案
相关题目

违法和不良信息举报电话:027-86699610 举报邮箱:58377363@163.com

精英家教网