题目内容
(1)在每个打夯周期中,电动机对夯杆所做的功;
(2)每个打夯周期中滚轮与夯杆间因摩擦产生的热量;
(3)打夯周期.
【答案】分析:(1)夯杆底端刚到达坑口的运动过程中,先做匀加速直线运动,当速度达到滚轮的线速度时,做匀速直线运动,夯杆先受到滑动摩擦力,然后受静摩擦力,电动机对夯杆所做的功等于摩擦力做的功.
(2)求出在每个周期内滚轮与夯杆间的相对位移,从而根据Q=fs相对求出因摩擦产生的热量.
(3)夯杆的运动过程包括:匀加速上升、匀速上升、匀减速上升再落回到坑底.求出整个过程的时间,即为打夯周期.
解答:解:(1)夯杆所受的滑动摩擦力F1=2μFN
根据牛顿第二定律得,F1-mg=ma
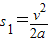
夯杆匀加速运动的位移
夯杆匀速运动的位移s2=h-s1
匀速运动的过程中,夯杆受静摩擦力,F2=mg
所以电动机对夯杆所做的功W=F1s1+F2(h-s1)=7.2×104J.
故电动机对夯杆所做的功为7.2×104J.
(2)夯杆与滚轮之间的相对位移为
t=
解得
所以Q=2μFN△s=4.8×104J.
故每个打夯周期中滚轮与夯杆间因摩擦产生的热量为4.8×104J.
(3)夯杆的运动过程包括:匀加速上升、匀速上升、匀减速上升再落回到坑底.
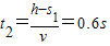
匀加速运动的时间
匀速运动的时间
匀减速上升再落回坑底过程有:规定向上为正方向,
-6.4=
解得t3=1.6s
所以周期T=t1+t2+t3=4.2s
故打夯周期为4.2s.
点评:解决本题的关键理清夯杆的运动过程,知道夯杆在一个周期内先做匀加速上升,再做匀速上升,最后匀减速上升到零,做自由落体到坑底.
(2)求出在每个周期内滚轮与夯杆间的相对位移,从而根据Q=fs相对求出因摩擦产生的热量.
(3)夯杆的运动过程包括:匀加速上升、匀速上升、匀减速上升再落回到坑底.求出整个过程的时间,即为打夯周期.
解答:解:(1)夯杆所受的滑动摩擦力F1=2μFN
根据牛顿第二定律得,F1-mg=ma
夯杆匀加速运动的位移
夯杆匀速运动的位移s2=h-s1
匀速运动的过程中,夯杆受静摩擦力,F2=mg
所以电动机对夯杆所做的功W=F1s1+F2(h-s1)=7.2×104J.
故电动机对夯杆所做的功为7.2×104J.
(2)夯杆与滚轮之间的相对位移为
解得
所以Q=2μFN△s=4.8×104J.
故每个打夯周期中滚轮与夯杆间因摩擦产生的热量为4.8×104J.
(3)夯杆的运动过程包括:匀加速上升、匀速上升、匀减速上升再落回到坑底.
匀加速运动的时间
匀速运动的时间
匀减速上升再落回坑底过程有:规定向上为正方向,
解得t3=1.6s
所以周期T=t1+t2+t3=4.2s
故打夯周期为4.2s.
点评:解决本题的关键理清夯杆的运动过程,知道夯杆在一个周期内先做匀加速上升,再做匀速上升,最后匀减速上升到零,做自由落体到坑底.
练习册系列答案
相关题目