题目内容
(1)两金属板间所加电压U的大小
(2)从Q处离开电场时的偏转角θ
(3)匀强磁场的磁感应强度B的大小.
【答案】分析:(1)粒子在匀强电场中运动时,在垂直于电场的方向上做匀速直线运动,位移为L,在平行于电场方向上做初速度为零的匀加速直线运动,位移为
L,应用牛顿运动定律和运动学公式可解决此问题.
(2)结合几何图形,利用速度的合成与分解,可求出离开电场时的偏转角度.
(3)画出粒子在匀强磁场中运动轨迹,由几何知识确定圆周运动的圆心,因洛伦兹力提供向心力,由牛顿运动定律结合几何知识可求得出磁场的强度.
解答:
解:
(1)粒子在电场中做类平抛运动如图所示,
设运动时间为t,则有:
垂直场强方向:L=vt…①
沿场强方向:
…②
加速度:
…③
电场强度:
…④
联立 ①~④解得:
.
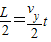
(2)设粒子离开电场沿场强方向速度大小为vy,则有:
…⑤
由数学知识有:
…⑥
联立①⑤⑥式解得:θ=45
(3)粒子在磁场中运动轨迹如图所示,设轨道半径为R,根据牛顿第二定律有:
…⑦
运动速度:
…⑧
由几何知识有:
…⑨
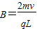
联立⑦~⑨解得:
.
答:(1)两金属板间所加电压U的大小为
.
(2)从Q处离开电场时的偏转角为45.
(3)匀强磁场的磁感应强度的大小为
.
点评:该题考察了带电粒子在电场中的偏转和在磁场中的匀速圆周运动,此题要求首先要画出带电粒子的运动轨迹图,了解图中的几何关系.利用粒子在电场中偏转时的速度的合成与分解,解决粒子在电场中运动的相关问题;利用带电粒子在匀速圆周运动的半径和周期公式,结合洛伦兹力提供向心力可解答带电粒子在磁场中运动的相关问题.
带电粒子从磁场边界以一定的角度射入只有一个边界的匀强磁场,当再次射出磁场时,速度与边界的夹角与原来的相等.解题时充分利用这个结论,对解题有非常大的帮助.
追问:此题粒子将以何种方式从和位置再次离开匀强电场?
(2)结合几何图形,利用速度的合成与分解,可求出离开电场时的偏转角度.
(3)画出粒子在匀强磁场中运动轨迹,由几何知识确定圆周运动的圆心,因洛伦兹力提供向心力,由牛顿运动定律结合几何知识可求得出磁场的强度.
解答:
(1)粒子在电场中做类平抛运动如图所示,
设运动时间为t,则有:
垂直场强方向:L=vt…①
沿场强方向:
加速度:
电场强度:
联立 ①~④解得:
(2)设粒子离开电场沿场强方向速度大小为vy,则有:
由数学知识有:
联立①⑤⑥式解得:θ=45
(3)粒子在磁场中运动轨迹如图所示,设轨道半径为R,根据牛顿第二定律有:
运动速度:
由几何知识有:
联立⑦~⑨解得:
答:(1)两金属板间所加电压U的大小为
(2)从Q处离开电场时的偏转角为45.
(3)匀强磁场的磁感应强度的大小为
点评:该题考察了带电粒子在电场中的偏转和在磁场中的匀速圆周运动,此题要求首先要画出带电粒子的运动轨迹图,了解图中的几何关系.利用粒子在电场中偏转时的速度的合成与分解,解决粒子在电场中运动的相关问题;利用带电粒子在匀速圆周运动的半径和周期公式,结合洛伦兹力提供向心力可解答带电粒子在磁场中运动的相关问题.
带电粒子从磁场边界以一定的角度射入只有一个边界的匀强磁场,当再次射出磁场时,速度与边界的夹角与原来的相等.解题时充分利用这个结论,对解题有非常大的帮助.
追问:此题粒子将以何种方式从和位置再次离开匀强电场?
练习册系列答案
相关题目
| π |
| 2 |
A、在t=1s时刻电流表的示数为
| ||||
| B、导体棒两端的最大电压为1V | ||||
| C、单位时间内电阻R上产生的焦耳热为0.25J | ||||
| D、从t=0至t=3s的时间内水平外力所做的功为0.75J |