题目内容

如图所示,ABDO是处于竖直平面内的光滑轨道,AB是半径为R=15m的1/4圆周轨道,半径OA处于水平位置,BDO是直径为15m的半圆轨道,D为BDO轨道的中央。一个小球P从A点的正上方距水平半径OA高H处自由落下,沿竖直平面内的轨道通过D点时对轨道的压力等于其重力的倍。取g=10m/s2

(1)H的大小?

(2)试讨论此球能否到达BDO轨道的O点,并说明理由。

(3)小球沿轨道运动后再次落到轨道上的速度的大小是多少?

 

【答案】

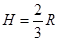
(1)   (2)能到达O点   (3)

【解析】

试题分析:(1)小球在D点         2分

小球从P点到D点过程中由动能定理得         2分

解得         1分

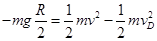
(2)设小球从D在上升R/2时的速度为v

由动能定理得          2分

解得            2分

故小球能到达O点           1分

(3)小球从O点水平飞出后打在圆弧轨道上时间为t,

这个过程小球的水平位移为                1分

竖直位移为         1分

        2分

解得t=1s        2分

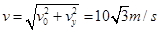
物体竖直方向速度          1分

落在圆弧上速度         2分

考点:本题考查圆周运动、动能定理和平抛运动。

 

练习册系列答案
相关题目

违法和不良信息举报电话:027-86699610 举报邮箱:58377363@163.com

精英家教网