题目内容
(1)一物体与轻质弹簧相连静放在足够长的光滑斜面上,若外力将物体拉离平衡位置,撤去外力后物体开始运动,不计空气阻力,论证物体的运动是否是简谐运动(写出论证过程才能得分)(2)一列横波上有相距4m的A、B两点,波的传播方向是由A向B,波长大于2m,如图所示的是A、B两质点的振动图象,求:这列波的波v.
【答案】分析:(1)振子振动时,弹簧的弹力提供回复力,根据胡克定律和牛顿第二定律得到振子的回复力与位移的关系,即可证明物体的运动是简谐运动.
(2)由振动图象读出周期.根据A、B两质点状态关系,得到波长的通项,结合条件波长大于2m,求出波长的特殊值,求出波速.
解答:解:(1)设物体的质量为m,弹簧的劲度系数为k,振子振动时,弹簧的弹力提供回复力,振子的位移大小等于弹簧的形变量,而回复力与位移方向相反,设振子的位移为x,则有
F=-kx
所以物体的运动是简谐运动.
(2)由振动图象得:质点的振动周期T=0.4s.由振动图象可知,B点比A点晚振动的时间△t=(k+
)T,(k=1,2,3,…)
所以A、B间的距离为△x=(k+
)λ(k=0、1、2、3、…)
则波长为λ=
=
m
因为λ>2m,所以k=0,1
当k=0时,
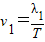
,
=
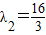
m/s;当k=1时,
m,v2=
m/s.
T答:(1)物体的运动是简谐运动,证明见上.
(2)这列波的波v为
m/s或
m/s.
点评:第1题根据简谐运动的特征:F=-kx判断物体的运动是简谐运动.第2题关键要能根据两质点的振动状态,确定出波长的通项,可以通过画波形的方法分析.
(2)由振动图象读出周期.根据A、B两质点状态关系,得到波长的通项,结合条件波长大于2m,求出波长的特殊值,求出波速.
解答:解:(1)设物体的质量为m,弹簧的劲度系数为k,振子振动时,弹簧的弹力提供回复力,振子的位移大小等于弹簧的形变量,而回复力与位移方向相反,设振子的位移为x,则有
F=-kx
所以物体的运动是简谐运动.
(2)由振动图象得:质点的振动周期T=0.4s.由振动图象可知,B点比A点晚振动的时间△t=(k+
所以A、B间的距离为△x=(k+
则波长为λ=
因为λ>2m,所以k=0,1
当k=0时,
T答:(1)物体的运动是简谐运动,证明见上.
(2)这列波的波v为
点评:第1题根据简谐运动的特征:F=-kx判断物体的运动是简谐运动.第2题关键要能根据两质点的振动状态,确定出波长的通项,可以通过画波形的方法分析.
练习册系列答案
相关题目